Betadex Sulfobutyl Ether Sodium Injectable Pharmaceutical Excipient EP USP Grade

Betadex Sulfobutyl Ether Sodium Injectable Pharmaceutical Excipient EP USP Grade

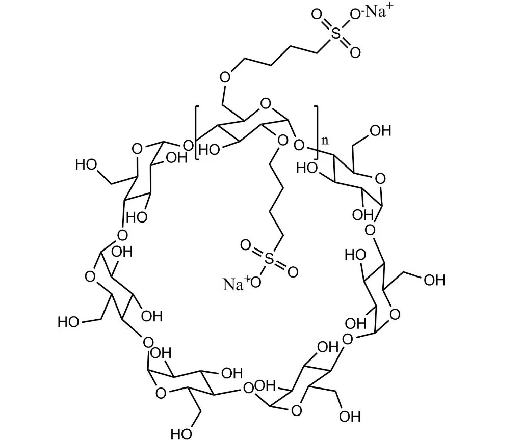
Ang Betadex Sulfobutyl Ether Sodium Injectable Pharmaceutical Excipient EP USP Grade (CAS 182410-00-0) ay isang derivative na cyclodextrin na lubhang nalulusaw sa tubig na ginagamit bilang isang solubilizer at stabilizer sa mga formulation ng injectable na gamot, na nagpapahusay sa solubility, kaligtasan, at bioavailability.

Magpadala ng Inquiry

Paglalarawan ng Produkto

Xi'an Deli Biochemical Industry Co., Ltd.ay isang high-tech na negosyo na nagdadalubhasa sa pananaliksik, pagpapaunlad, produksyon, at pagbebenta ng mga cyclodextrin derivatives. Itinatag noong 1999, ang kumpanya ay may higit sa 25 taong karanasan sa mga pharmaceutical excipients, kabilang angHydroxypropyl Betadex (HPBCD)atBetadex Sulfobutyl Ether Sodium (SBECD). Ang kumpanya ay nagpapatakbo ng mga dedikadong malinis na lugar at mga advanced na linya ng produksyon, na tinitiyak ang mataas na kalidad, matatag, at pare-parehong mga produkto para sa pandaigdigang mga aplikasyon ng parmasyutiko.

Paglalarawan ng Produkto

Betadex Sulfobutyl Ether Sodium Injectable Pharmaceutical Excipient EP USP Grade(CAS 182410-00-0) ay isang mataas na nalulusaw sa tubig na anionic cyclodextrin derivative. Ang SBECD ay gumaganap bilang isang solubilizer, wetting agent, chelating agent, at masking agent, na nagpapahusay sa drug solubility, stability, at kaligtasan sa injectable, oral, nasal, at ophthalmic formulations. Ang SBECD ay malawakang ginagamit sa mga antifungal, antiviral, cardiovascular, at oncology API.

Mga Detalye ng Produkto

CAS No: 182410-00-0
Molecular Formula: C42H70-nO35·(C4H8SO3Na)n
Grado: Injectable, EP at USP compliant
Hitsura: Puti hanggang puti na amorphous powder
Pagsusuri: ≥99.0%
Mga Aplikasyon: Mga iniksyon at parenteral na pormulasyon ng parmasyutiko
Packaging: 500g/bag; 1kg/bag; 10kg/bag; 10kg/drum; magagamit ang customized na packaging
Imbakan: Selyadong at tuyo
Shelf Life: 36 na buwan
COA / Quality Assurance: 

Ang bawat batch ng SBECD ay sinusuri para sa assay purity, bacterial endotoxin, residual solvents, heavy metals, at average degree of substitution (DS), na sumusunod sa USP at EP pharmacopeial standards.

Mga Application ng Produkto

Ang Betadex Sulfobutyl Ether Sodium ay ginagamit upang pahusayin ang solubility, bawasan ang renal toxicity, bawasan ang hemolysis, at pagbutihin ang pagsunod ng pasyente. Ang SBECD ay angkop para sa intravenous, intramuscular, nasal, oral, at ophthalmic delivery system. Bumubuo ito ng mga inclusion complex na may mahinang basic at nitrogen-containing na mga API, na nagbibigay ng sustained release at pinahusay na stability.

Hydroxypropyl Betadex (HPBCD) – Injectable at oral pharmaceutical excipient
Betadex Sulfobutyl Ether Sodium (SBECD) – Injectable-grade cyclodextrin derivative

FAQ

Q: Ang Xi'an Deli Biochemical ba ang gumagawa ng SBECD?
A: Oo, ang Xi'an Deli Biochemical ay gumagawa ng Betadex Sulfobutyl Ether Sodium (SBECD) at HPBCD. Ang Beta Cyclodextrin ay ginagamit bilang hilaw na materyal para sa derivative production.

Q: Available ba ang mga sample?
A: Oo, ang mga sample ng SBECD ay magagamit para sa pagsusuri.

Q: Ano ang batch at taunang kapasidad ng produksyon?
A: SBECD batch production capacity ay 2.5 tonelada, at taunang output ay lumampas sa 200 tonelada.

Q: Anong mga dokumento ng regulasyon ang ibinigay?
A: COA, MSDS, stability data, at mga teknikal na dossier ay available para sa lahat ng batch.

Q: Mga opsyon sa pagpapadala?
A: Pandaigdigang pagpapadala sa pamamagitan ng hangin, dagat, o express courier.

Mga Hot Tags: Betadex Sulfobutyl Ether Sodium Injectable Pharmaceutical Excipient EP USP Grade, Mga Manufacturer, Supplier, China, Pabrika, maramihan, Libreng Sample, Made in China, In Stock, Wholesale, Bumili

Kaugnay na Kategorya

Magpadala ng Inquiry

Mangyaring huwag mag-atubiling ibigay ang iyong pagtatanong sa form sa ibaba. Sasagot kami sa iyo sa loob ng 24 na oras.
icon
X
Gumagamit kami ng cookies para mag-alok sa iyo ng mas magandang karanasan sa pagba-browse, pag-aralan ang trapiko sa site at i-personalize ang content. Sa paggamit ng site na ito, sumasang-ayon ka sa aming paggamit ng cookies. Patakaran sa Privacy
Tanggihan Tanggapin