Balita sa Industriya

Cyclodextrin-Based Solutions para sa Solubility at Stability Enhancement

2025-12-23 - Mag-iwan ako ng mensahe

Cyclodextrin-Based Solutions para sa Solubility at Stability Enhancement

Teknikal na Pangkalahatang-ideya ng Hydroxypropyl Betadex at Betadex Sulfobutyl Ether Sodium

Ang mga cyclodextrin ay malawak na kinikilala para sa kanilang kakayahang pahusayin ang solubility at katatagan ng mga compound na hindi natutunaw o sensitibo sa kemikal. Dahil sa kanilang natatanging cyclic molecular structure, ang cyclodextrins at ang kanilang mga derivatives ay naging mahalagang functional excipients sa mga pharmaceutical, chemical, at mga nauugnay na larangan ng formulation. Bilang tugon sa pagtaas ng teknikal at regulasyong mga kinakailangan, ang Xi'an Deli Biochemical ay higit na pinino ang teknikal na dokumentasyon at suporta sa produkto para sa mga pangunahing cyclodextrin derivatives nito:hydroxypropyl betadex (HPBCD) at betadex sulfobutyl ether sodium (SBECD).


Mga Katangian sa Istruktura at Pagganap ng Pagganap ng Cyclodextrins

Ang cyclodextrins ay mga cyclic oligosaccharides na binubuo ng mga unit ng glucose na naka-link ng α-1,4 glycosidic bond. Nagtatampok ang kanilang molecular architecture ng hydrophilic outer surface at medyo hydrophobic internal cavity, na nagpapagana sa pagbuo ng mga inclusion complex na may malawak na hanay ng mga guest molecule. Ang kemikal na pagbabago ng istraktura ng cyclodextrin ay maaaring makabuluhang mapahusay ang may tubig na solubility at palawakin ang versatility ng aplikasyon.


Hydroxypropyl Betadex (HPBCD)


Ang Hydroxypropyl betadex ay isang β-cyclodextrin na binago ng kemikal na idinisenyo upang madaig ang limitadong solubility ng mga katutubong cyclodextrins. Ang pinahusay na water solubility at paborableng compatibility nito ay ginagawang angkop ang HPBCD para sa mga application na nangangailangan ng epektibong solubilization, stabilization, at formulation flexibility sa iba't ibang system.


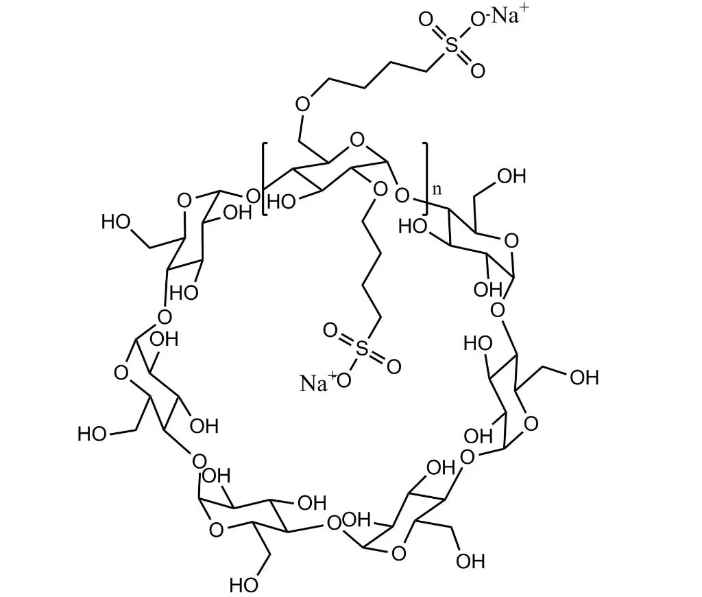
Betadex Sulfobutyl Ether Sodium (SBECD)


Ang Betadex sulfobutyl ether sodium ay isang anionic cyclodextrin derivative na nailalarawan sa pamamagitan ng sulfobutyl ether substituents. Pinahuhusay ng istrukturang ito ang mga electrostatic na pakikipag-ugnayan sa mga partikular na compound, na sumusuporta sa pinahusay na solubility, kumplikadong katatagan, at tibay ng formulation sa mas hinihingi na mga aplikasyon.

Standardized Product Information at Technical Support

Para mas mahusay na suportahan ang pagbuo ng formulation, pagsusuri ng kalidad, at mga proseso ng pagkuha, sistematikong na-update ng Xi'an Deli Biochemical ang impormasyon ng produkto para sa HPBCD at SBECD, kabilang ang:


  • Malinaw na tinukoy at na-standardize ang mga detalye ng produkto at analytical parameter
  • Batch-specific Certificates of Analysis (COA) para matiyak ang traceability at kalidad ng pag-verify
  • Mga pinalawak na teknikal na FAQ na tumutugon sa paghawak, pag-iimbak, at mga karaniwang pagsasaalang-alang sa aplikasyon
  • Mga na-optimize na buod ng produkto na idinisenyo upang mapadali ang mahusay na teknikal na pagsusuri at pagpili


Ang mga pagpapahusay na ito ay nilayon upang mapahusay ang transparency, bawasan ang mga timeline ng pagsusuri, at suportahan ang pare-parehong pagganap ng produkto sa buong ikot ng supply.


Karanasan sa Paggawa at Pagtitiyak ng Kalidad

Itinatag noong 1999, ang Xi'an Deli Biochemical ay nagdadala ng 26 na taon ng karanasan sa paggawa ng mga cyclodextrin derivatives. Nakatuon ang kumpanya sa kontroladong produksyon ng hydroxypropyl betadex at betadex sulfobutyl ether sodium, na nagbibigay-diin sa pagkakapare-pareho ng proseso, pagiging maaasahan ng batch-to-batch, at pangmatagalang katatagan ng supply. Sinusuportahan ng mga istrukturang kasanayan sa pamamahala ng kalidad ang mga kinakailangan sa teknikal, regulasyon, at pag-sourcing ng mga customer.


Saklaw ng Application at Teknikal na Pakikipagtulungan

Batay sa cyclodextrin inclusion at stabilization mechanisms, ang HPBCD at SBECD ay naaangkop sa maraming teknikal na larangan, kabilang ang mga pormulasyon na nauugnay sa parmasyutiko, mga espesyal na kemikal, produktong beterinaryo, at iba pang mga system na nangangailangan ng pinahusay na solubility at stability. Ang Xi'an Deli Biochemical ay patuloy na nakikipag-ugnayan sa mga kasosyo sa pamamagitan ng komunikasyong nakatuon sa aplikasyon at teknikal na pakikipagtulungan upang suportahan ang mga umuusbong na pangangailangan sa pagbabalangkas.


Tungkol sa Xi'an Deli Biochemical Industry Company

Itinatag noong 1999, ang Xi'an Deli Biochemical Industry Companies ay isang dalubhasang tagagawa ng mga cyclodextrin derivatives, na nagbibigay ng hydroxypropyl betadex (HPBCD) at betadex sulfobutyl ether sodium (SBECD) sa mga global na customer. Sa matagal nang pagtutok sa pagkakapare-pareho ng produkto, malinaw na mga detalye, at praktikal na teknikal na suporta, ang kumpanya ay nananatiling nakatuon sa pagbibigay ng maaasahang mga solusyong batay sa cyclodextrin.


Kung gusto mo, kaya ko ring:


  • Higit pang i-optimize ito para sa Google SEO (nang hindi binabawasan ang teknikal na tono)
  • I-condense ito sa isang product-page na "Technical Update" na bersyon
  • Iangkop ito para sa mga customer na may regulasyon / nakatuon sa kalidad


Sabihin mo lang kung saan mo balak i-publish.


Magpadala ng Inquiry


icon
X
Gumagamit kami ng cookies para mag-alok sa iyo ng mas magandang karanasan sa pagba-browse, pag-aralan ang trapiko sa site at i-personalize ang content. Sa paggamit ng site na ito, sumasang-ayon ka sa aming paggamit ng cookies. Patakaran sa Privacy
Tanggihan Tanggapin